SO2作为一种空气污染物,对人体健康和生态环境有着严重的危害。因此,SO2排放的控制受到越来越多研究者的关注。目前使用钙基吸收剂和氨溶液的湿法脱硫(FGD)技术是控制SO2排放最有效的方法,然而以上方法仍然存在严重的不足。例如,产生大量无用的副产品和废水;氨溶液的挥发性不仅降低了脱硫效率,而且造成了二次污染。新型SO2吸收剂离子液体(ILS)和低共熔溶剂(DESs)可解决SO2捕集过程中吸收剂挥发的问题,但其高粘度限制了它们的实际应用。


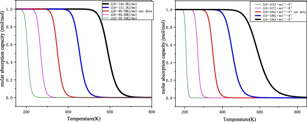
近日,赵文波教授课题组在SO2气体捕集方面取得重要研究进展。首先合成了低粘度氨基烷基-苯基-硅烷以捕获SO2。苯基之间的π-π相互作用降低了氨基烷基-苯基-硅烷的挥发性,但没有明显增加粘度。含有两个苯基的N-[(二甲基苯基甲硅烷基)甲基]-N-甲基苯甲胺(DPSA)具有最强的π-π相互作用,因此其热分解温度可达150°C,而其25℃时的粘度仅为8.45 mPa·s,远低于ILs和DESs。DPSA吸收反应的焓变和熵变分别为-79.284 KJ/mol和-224 Jmol-1K-1,是目前文献报道SO2捕获反应的最高绝对值。文中首次提出了一个目标函数
来计算最佳的吸收和解吸温度。此外,五个循环的再生实验表明DPSA具有良好的再生能力。相关研究成果以“Low Viscous Aminoalkyl-phenyl-silane with π-π Interaction and Its Optimal SO2Capture Condition”为题发表在化工顶级国际学术期刊AIChE Journal上(论文链接://doi.org/10.1002/aic.17775)。论文第一作者为星力
2018级硕士研究生郝博,通讯作者为赵文波教授,通讯单位为星力
。

另外课题组通过两步反应合成了一种低粘度、高热稳定性的二丁基-(1,1-二甲基-3,3,3-三苯基-二硅氧烷基甲基)-胺(DDTDA)。发现其与SO2的反应焓和熵变分别为-85.39 KJ/mol和-244 J mol-1K-1,其绝对值相比于DPSA得到进一步增加。数学实验证明,简单地比较两种吸收剂在一定温度下的容量来评估它们的吸收性能是不科学的。不同的吸收剂具有不同的最佳捕集温度范围,该范围由其反应焓变和熵变决定。相关研究成果以“A standard function to evaluate optimal absorption and desorption temperature of SO2absorbent: Taking amine alkyl organosilicon as example”为题发表在化工领域国际Top学术期刊Separation and Purification Technology上(论文链接://doi.org/10.1016/j.seppur.2022.120634)。论文第一作者为星力
2020级硕士研究生童向鑫,通讯作者为赵文波教授,通讯单位为星力
。
以上研究工作得到了国家自然科学基金(22068016,21666011)以及云南省“兴滇英才支持计划”青年人才专项的资助。